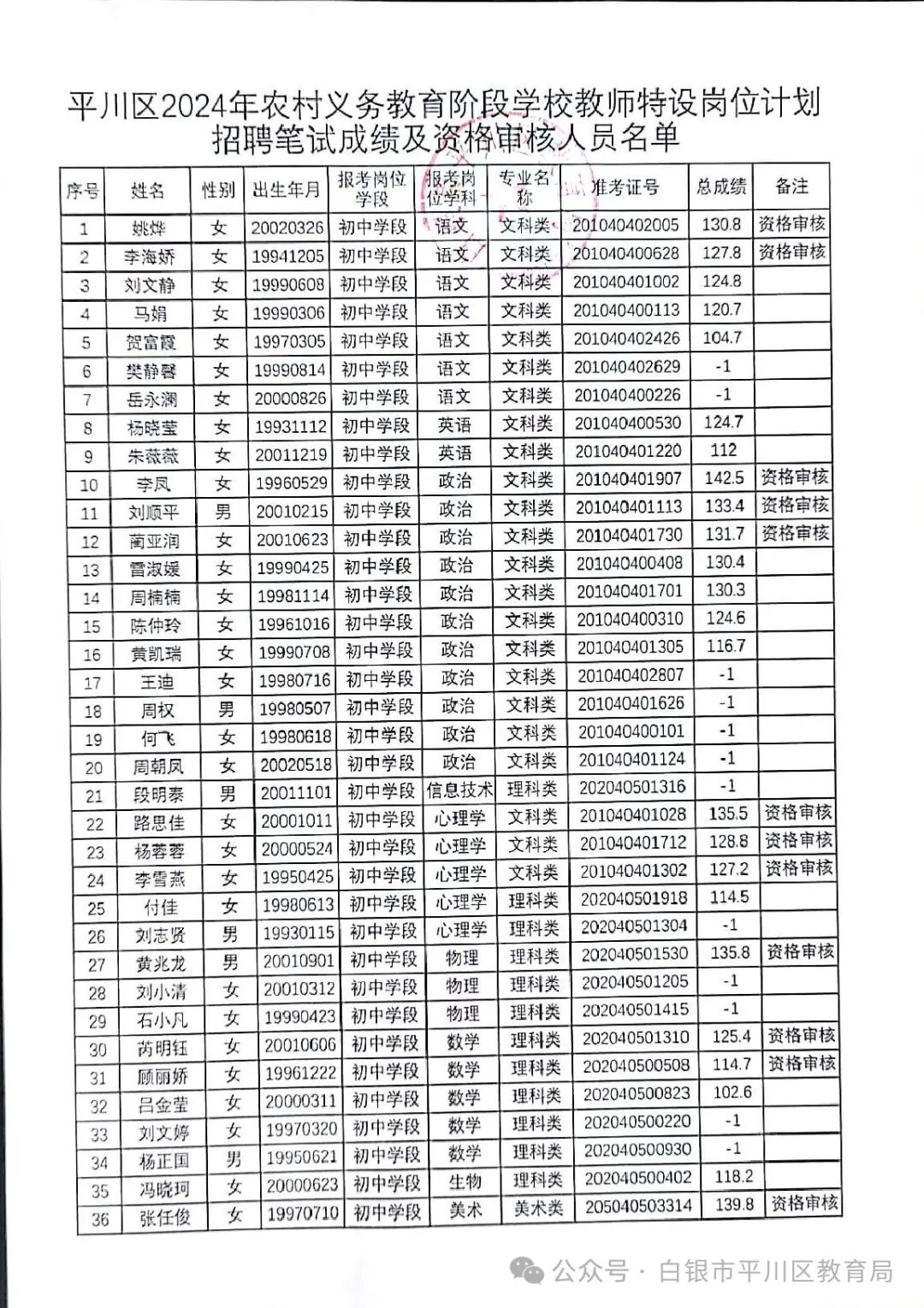
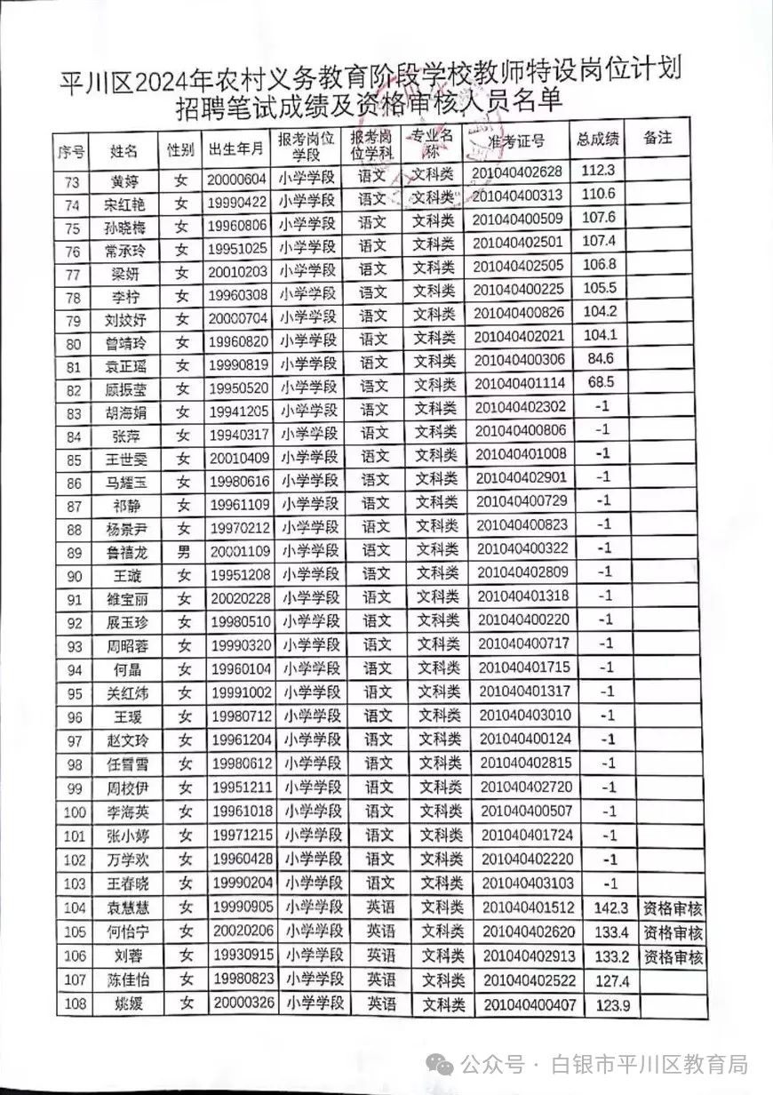
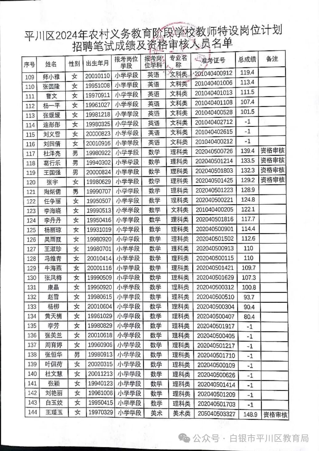
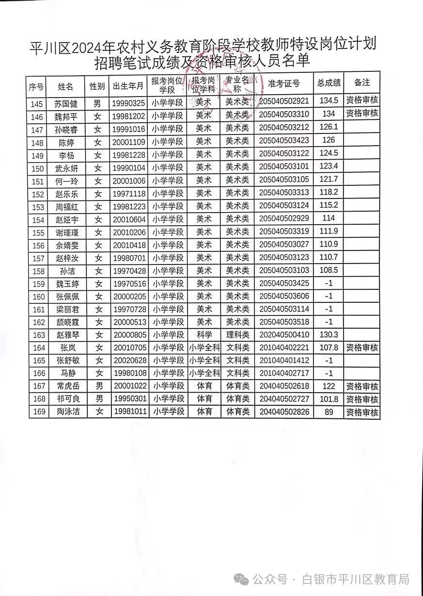
根据市教育局、市人社局、市财政局《关于印发白银市2024年农村义务教育阶段学校教师特设岗位计划实施方案的通知》(白教师〔2024〕7号)精神,现将我区2024年农村义务教育阶段学校教师特设岗位计划笔试成绩予以公布,并将现场资格审核有关事宜公告如下:2024年平川区共计划招聘特岗教师25名,其中小学教师岗位:语文2名,数学3名,英语2名,体育2名,美术2名,小学全科2名;初中教师岗位:语文1名,数学1名,物理2名(含已签约农硕1名),化学3名(含已签约农硕1名),政治2名,美术1名,心理辅导2名。根据分学段(小学学段、初中学段)对应学科,依据报考考生笔试成绩由高分到低分依次排序,按照招聘计划的120%确定参加现场资格审核对象。(具体名单见附件)时间:2024年7月16日上午8:30-11:30,下午14:30-17:00地点:平川区临工市场(区人力资源和社会保障局大厦一楼)1.有效居民身份证、毕业证、户口本原件及复印件、教师资格证或教育部考试中心颁发的《中小学教师资格考试合格证明》或《师范生教师职业能力证书》的原件及复印件和普通话等级证书原件及复印件。2.考生在网上报名系统自行打印的《甘肃省2024年农村义务教育阶段学校教师特设岗位计划报名表》及近期正面免冠2寸彩照2张。3.参加了2018年省政府为民办实事项目“甘肃省深度贫困县农村学校支教行动”且支教合格的考生须提供《甘肃省深度贫困县农村学校支教行动实习支教鉴定表》复印件(由档案管理部门加盖公章证明与原件一致)。本人因故无法参加现场资格审核的,可委托亲友审核,审核时除提供上述规定的证件外,还须持委托书和被委托人的有效居民身份证原件及复印件。1.经现场资格审核不符合报名条件或被举报并经查实不符合报名条件的考生,一律取消其面试资格,并按同学段同学科依据考生笔试成绩由高分到低分依次排序等额递补符合报名条件考生。2.不在规定时间内进行现场资格审核的考生,视为自动放弃,不再补审,不得参加面试。3.参加资格审核的人员须扫码加入微信群“平川区2024年特岗教师资格审核”,本群实行实名管理,格式为姓名+学段学科+联系电话。

附件:平川区2024年农村义务教育阶段学校教师特设岗位计划招聘笔试成绩及资格审核人员名单
白银市平川区教育局
2024年7月12日
附件:平川区2024年农村义务教育阶段学校教师特设岗位计划招聘笔试成绩及资格审核人员名单




